º»¹® ¹Ù·Î°¡±â ÁÖ¸Þ´º·Î ¹Ù·Î°¡±â
  • facebook ¹Ù·Î°¡±â
  • twitter ¹Ù·Î°¡±â
  • ³×À̹öºí·Î±× ¹Ù·Î°¡±â
  • ´ÙÀ½ºí·Î±× ¹Ù·Î°¡±â
  • Youtube ¹Ù·Î°¡±â

Àü±¹¹ý¿ø ÁÖ¿äÆÇ°á

Àü±¹¹ý¿ø ÁÖ¿äÆÇ°á
Àü±¹¹ý¿ø ÁÖ¿äÆÇ°á ³»¿ë
Á¦¸ñ [ƯÇã]ÀÌ »ç°Ç Á¦1 ³»Áö 4, 10 ³»Áö 14Ç× Á¤Á¤¹ß¸íÀº Åë»óÀÇ ±â¼úÀÚ°¡ ¼±Çà¹ß¸íÀ¸·ÎºÎÅÍ ½±°Ô ¹ß¸íÇÒ ¼ö ÀÖ´Ù°í º¼ ¼ö ¾ø¾î Áøº¸¼ºÀÌ ÀÎÁ¤µÇ´Â °ÍÀ¸·Î ÆÇ´ÜÇÑ »ç·Ê(ƯÇã¹ý¿ø 2021Çã6177)
ÀÛ¼ºÀÚ Æ¯Çã¹ý¿ø [´ëÀü] ÀÛ¼ºÀÏ 2022-09-26
Á¶È¸¼ö 1271
÷ºÎÆÄÀÏ  [1]2021Çã6177.pdf

l  »ç°Ç °³¿ä

 

½ÅûÀÎÀº ÀÌ »ç°Ç ƯÇã¹ß¸íÀÇ Ã»±¸Ç× 1³»Áö 4, 10 ³»Áö 14Ç×Àº Åë»óÀÇ ±â¼úÀÚ°¡ ¼±Çà¹ß¸í¿¡ ÀÇÇÏ¿© ½±°Ô ¹ß¸íÇÒ ¼ö ÀÖ´Ù°í ÁÖÀåÇϸ鼭, ÀÌ »ç°Ç ƯÇã¹ß¸í¿¡ °üÇÏ¿© ƯÇãÃë¼Ò½ÅûÀ» ÇÏ¿´´Ù. ƯÇã½ÉÆÇ¿øÀº ¿ø°í¿¡°Ô Ãë¼ÒÀÌÀ¯¸¦ ÅëÁöÇϸ鼭 Àǰ߼­¸¦ Á¦ÃâÇÒ ±âȸ¸¦ ÁÖ¾ú°í, ¿ø°í´Â û±¸Ç× 1, 2, 3, 4Ç×ÀÇ Ã»±¸¹üÀ§¸¦ Á¤Á¤ÇÏ´Â ³»¿ëÀÇ Á¤Á¤Ã»±¸¸¦ Çϸ鼭 Ãë¼ÒÀÌÀ¯¿¡ °üÇÑ Àǰ߼­¸¦ Á¦ÃâÇÏ¿´´Ù. ƯÇã½ÉÆÇ¿øÀº ¿ø°íÀÇ Á¤Á¤Ã»±¸¸¦ ÀÎÁ¤ÇÏ¿´À¸³ª “ÀÌ »ç°Ç ƯÇã¹ß¸íÀÇ Ã»±¸Ç× 1 ³»Áö 4, 10 ³»Áö 14Ç×Àº Åë»óÀÇ ±â¼úÀÚ°¡ ¼±Çà¹ß¸í¿¡ ÀÇÇÏ¿© ½±°Ô ¹ß¸íÇÒ ¼ö ÀÖÀ¸¹Ç·Î ±× ƯÇã°¡ Ãë¼ÒµÇ¾î¾ß ÇÑ´Ù.”¶ó´Â ÀÌÀ¯·Î ƯÇãÃë¼Ò½ÅûÀ» ÀοëÇÏ´Â °áÁ¤À» ÇÏ¿´´Ù. ÀÌ¿¡ ´ëÇØ ÀÌ »ç°Ç ƯÇã¹ß¸íÀÇ ±Ç¸®ÀÚÀÎ ¿ø°í°¡ ½ÉÆÇ¿ø °áÁ¤ÀÇ Ãë¼Ò¸¦ ±¸ÇÏ´Â ¼Ò¸¦ Á¦±âÇÑ »ç¾ÈÀÌ´Ù.

  

l  ÆÇ½Ã ¿äÁö

 

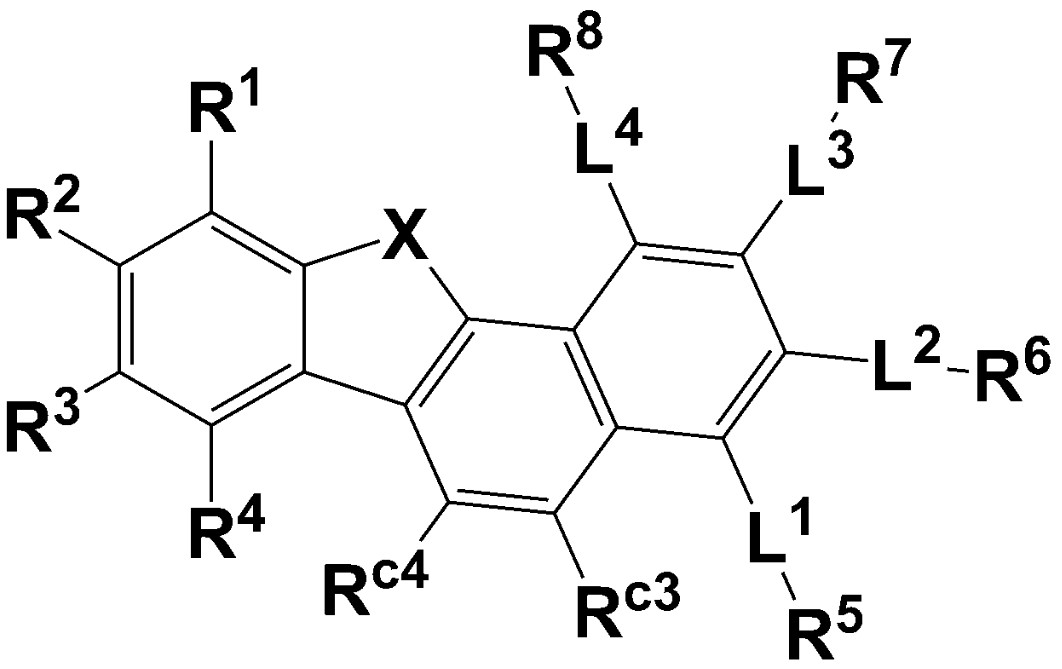
(1)   ÀÌ »ç°Ç Á¦1Ç× Á¤Á¤¹ß¸íÀÇ Áøº¸¼º ºÎÁ¤¿©ºÎ¸¦ ÆÇ´ÜÇϱâ À§ÇØ ¿ì¼± ±¸¼ºÀÇ °ï¶õ¼ºÀ» »óÆìº»´Ù. ÀÌ »ç°Ç Á¦1Ç× Á¤Á¤¹ß¸íÀÇ [È­ÇÐ½Ä 1A]ÀÇ È­ÇÕ¹°°ú ¼±Çà¹ß¸íÀÇ B-44, B-45, B-46, B-50ÀÇ È­ÇÕ¹°Àº ¸ðÇÙ ±¸Á¶( 1 ) ¿Í ġȯ±âµéÀº µ¿ÀÏÇÏ°í ¸ðÇÙ ±¸Á¶ ÀÇ X°¡ O ¶Ç´Â S(ÀÌ »ç°Ç Á¦1Ç× Á¤Á¤¹ß¸í)¿Í N(¼±Çà¹ß¸í)¶ó´Â Á¡¿¡¼­¸¸ Â÷À̰¡ ÀÖ´Ù. Á¾·¡±â¼úÀÇ ¹®Á¦Á¡¿¡ °üÇÑ ¼±Çà¹ß¸íÀÇ ¸í¼¼¼­ ±âÀç¿¡ ÀÇÇÏ¸é ¼±Çà¹ß¸íÀº Ä«¹ÙÁ¹ °ñ°Ý(2 ) À» °¡Áö´Â È­ÇÕ¹°¿¡ ÁÖ¸ñÇϰí ÀÖÀ½À» ¾Ë ¼ö ÀÖ°í, ¼±Çà¹ß¸íÀº À§¿Í °°Àº ¹®Á¦Á¡À» ÇØ°áÇϱâ À§ÇÏ¿© ±âÁ¸ÀÇ Àç·áº¸´Ù ¹ß±¤ È¿À² ¹× ¼ÒÀÚ ¼ö¸íÀÌ ÁÁ°í Àû»ö°è·Î ¹ß±¤ÇÏ´Â ¿ì¼öÇÑ °ñ°ÝÀÇ À¯±â ÀüÀÚÀç·á¿ë È­ÇÕ¹°À» Á¦°øÇϴµ¥ ±× ¸ñÀûÀÌ ÀÖ°í, À§ ¸ñÀûÀ» ´Þ¼ºÇϱâ À§ÇÏ¿© ¼±Çà¹ß¸íÀº º¥Á¶Ä«¹ÙÁ¹¿¡ ´Ù¾çÇÏ°Ô Ä¡È¯µÈ ÇìÅ׷ξƸ±ÀÌ °áÇÕÇÑ È­ÇÕ¹°À» Á¦½ÃÇϰí ÀÖ´Ù. ¼±Çà¹ß¸íÀº À¯±â ÀüÀÚÀç·á¿ë È­ÇÕ¹°¿¡ °üÇÑ °ÍÀ̰í È­ÇÐ½Ä 1 ¹× È­ÇÐ½Ä 9¿¡¼­ °¢°¢ X´Â X´Â -O-, -S-, -CR12R13-¶Ç´Â –NR14- ¹× X´Â -O-, -S-, -CR12R13-¶Ç´Â –NR14 À̾úÀ¸¹Ç·Î À§ ±âÀç ºÎºÐ¸¸ º¼ ¶§¿¡´Â ¼±Çà¹ß¸íÀÇ B-44, B-45, B-46, B-50ÀÇ È­ÇÕ¹°¿¡¼­ X¸¦ O ¶Ç´Â S·Î º¯°æÇÏ¿© ÀÌ »ç°Ç Á¦1Ç× Á¤Á¤¹ß¸íÀÇ [È­ÇÐ½Ä 1A]¿¡ ÇØ´çÇÏ´Â ´ëÀÀ È­ÇÕ¹°À» µµÃâÇÒ ¼ö ÀÖ´Â °Íó·³ º¸À̱â´Â Çϳª, ±×·¯³ª È­Çй°Áú¿¡ °üÇÑ ¹ß¸íÀº ´Ù¸¥ ºÐ¾ßÀÇ ¹ß¸í°ú ´Þ¸® Á÷Á¢ÀûÀÎ ½ÇÇè°ú È®Àκм®À» ÅëÇÏÁö ¾ÊÀº ä È­ÇкоßÀÇ ÀÌ·Ð ¹× »ó½Ä¸¸À¸·Î ´ç¿¬È÷ È­ÇйÝÀÀÀÇ °á°ú¸¦ ¿¹ÃøÇÏ´Â °ÍÀÌ ¿ëÀÌÇÏÁö ¾ÊÀºµ¥, Åë»óÀÇ ±â¼úÀÚ´Â À§¿Í °°Àº ¼±Çà¹ß¸íÀÇ ¸í¼¼¼­ ±âÀ縦 ÅëÇØ º¥Á¶Ä«¹ÙÁ¹(3 )À» °ñ°ÝÀ¸·Î ÇÏ´Â °æ¿ì »ó´ëÀûÀ¸·Î ¿ì¼öÇÑ ÀÛ¿ëÈ¿°ú¸¦ ¹ßÈÖÇÒ °ÍÀ̶ó°í ÀνÄÇÒ °ÍÀ̰í, ¼±Çà¹ß¸íÀÇ B-44, B-45, B-46, B-50ÀÇ È­ÇÕ¹°¿¡¼­ X¸¦ O ¶Ç´Â S·Î º¯°æÇÏ´Â °ÍÀº À§¿Í °°Àº ¼±Çà¹ß¸íÀÇ ±â¼úÀû ÀÇÀǸ¦ »ó½ÇÇÏ°Ô ÇÏ´Â °ÍÀ̹ǷΠÀÌ »ç°Ç Á¦1Ç× Á¤Á¤¹ß¸íÀ» ÀÌ¹Ì ¾Ë°í ÀÖ´Â »óÅ¿¡¼­ »çÈÄÀûÀ¸·Î °íÂûÇÏÁö ¾Ê°í¼­´Â Åë»óÀÇ ±â¼úÀÚ°¡ À̸¦ ½±°Ô »ý°¢ÇØ ³»±â ¾î·Æ´Ù°í º¸ÀÌ´Â Á¡, ¼±Çà¹ß¸í¿¡¼­ ±¸Ã¼ÀûÀ¸·Î °³½ÃÇϰí ÀÖ´Â È­ÇÕ¹°µé Áß ¼±Çà¹ß¸íÀÇ B-44, B-45, B-46, B-50ÀÇ È­ÇÕ¹°µéÀº ¼±Çà¹ß¸íÀÇ [È­ÇÐ½Ä 1], [È­ÇÐ½Ä 9]¿¡¼­ ¸ðÇÙ ±¸Á¶´Â , X´Â NR14ÀÎ À¯±â ÀüÀÚÀç·á¿ë È­ÇÕ¹°Àε¥, Åë»óÀÇ ±â¼úÀÚ°¡ À§¿Í °°Àº ¼±Çà¹ß¸íÀÇ B-44, B-45, B-46, B-50ÀÇ È­ÇÕ¹°¿¡¼­ º¸´Ù ½±°Ô º¯°æÇÒ ¼ö Àִ ġȯ±â°¡ ¾Æ´Ñ ¸ðÇÙ ±¸Á¶ÀÇ X¸¦ O·Î º¯°æ½ÃÄÑ º¥Á¶µðº¥Á¶Ç»¶õ(4 ) ±¸Á¶¸¦ äÅÃÇϰųª S·Î º¯°æ½ÃÄÑ º¥Á¶µðº¥Á¶Æ¼¿ÀÆæ(5 ) ±¸Á¶¸¦ äÅÃÇÒ µ¿±â°¡ Àִٰųª ±×¿¡ ´ëÇÑ ½Ã»ç°¡ ÀÖ´Ù°í ÇÒ ¼ö ¾ø´Ù´Â Á¡ µî¿¡ ºñÃß¾î º¼ ¶§ ÀÌ »ç°Ç Á¦1Ç× Á¤Á¤¹ß¸íÀº Åë»óÀÇ ±â¼úÀÚ°¡ ¼±Çà¹ß¸íÀ¸·ÎºÎÅÍ ±× ±¸¼ºÀ» µµÃâÇÏ´Â °ÍÀÌ ½±´Ù°í º¼ ¼ö ¾ø´Ù.

 

(2)   ÀÛ¿ëÈ¿°úÀÇ ÇöÀú¼ºÀÌ ÀÖ´ÂÁö ¿©ºÎ¸¦ »ìÆìº¸¸é, ÀÌ »ç°Ç Á¤Á¤¹ß¸íÀÇ ¸í¼¼¼­ ±âÀç¿¡ ÀÇÇϸé, À¯±â ¹ß±¤ ¼ÒÀÚÀÇ ¼º´ÉÀº À¯±âÃþ¿¡ Æ÷ÇÔµÈ À¯±â Àç·áÀÇ ¿µÇâÀ» ¸¹ÀÌ ¹Þ´Âµ¥, ÀÌ »ç°Ç Á¦1Ç× Á¤Á¤¹ß¸íÀº Á¤°ø ¹× ÀüÀÚÀÇ À̵¿¼ºÀ» ³ôÀÌ´Â µ¿½Ã¿¡ Àü±âÈ­ÇÐÀû ¾ÈÁ¤¼ºÀ» ³ôÀÏ ¼ö ÀÖ´Â À¯±â Àç·á¸¦ °³¹ßÇÏ¿© °íÈ¿À² ¹× Àå¼ö¸íÀÇ À¯±â ±¤ÀüÀÚ ¼ÒÀÚ¸¦ ±¸ÇöÇÒ ¼ö ÀÖ´Â À¯±â ±¤ÀüÀÚ ¼ÒÀÚ¿ë È­ÇÕ¹°À» Á¦°øÇÔÀ» ¸ñÀûÀ¸·Î Çϰí, À̸¦ À§ÇÏ¿© ÀÌ »ç°Ç Á¦1Ç× Á¤Á¤¹ß¸íÀº [È­ÇÐ½Ä 1A]ÀÇ È­ÇÕ¹°À» Á¦½ÃÇϸç, À§ È­ÇÕ¹°Àº °íÈ¿À² ¹× Àå¼ö¸íÀÇ À¯±â ±¤ÀüÀÚ ¼ÒÀÚ¸¦ ±¸ÇöÇÒ ¼ö ÀÖ´Â È¿°ú°¡ ÀÖ´Ù. ÀÌ »ç°Ç Á¤Á¤¹ß¸íÀÇ ¸í¼¼¼­¿¡ ¸ðÇÙ ±¸Á¶°¡ 1  À̰í X°¡ OÀÎ ¸ðµç È­ÇÕ¹°ÀÇ ÀÛ¿ëÈ¿°ú¿¡ °üÇÏ¿© ¸í½ÃÀûÀ¸·Î ±âÀçµÇ¾î ÀÖÁö ¾Æ´ÏÇÏ´õ¶óµµ Åë»óÀÇ ±â¼úÀÚ´Â À§¿Í °°Àº ¹ß¸íÀÇ ¼³¸íÀÇ ±âÀç·ÎºÎÅÍ ¸ðÇÙ ±¸Á¶ 1  ¿¡¼­ X°¡ OÀÎ °æ¿ì ¼±Çà¹ß¸í¿¡ ºñÇÏ¿© ÇöÀúÇÑ È¿°ú°¡ ÀÖÀ½À» ÀνÄÇϰųª Ãß·ÐÇÒ ¼ö ÀÖ°í, °íÈ¿À² ¹× Àå¼ö¸íÀÇ À¯±â ±¤ÀüÀÚ ¼ÒÀÚ¸¦ ±¸ÇöÇÒ ¼ö ÀÖ´Â È¿°ú°¡ ÀÖ´Ù´Â ³»¿ëÀÇ ÀÌ »ç°Ç Á¤Á¤¹ß¸íÀÇ ¸í¼¼¼­ÀÇ ±âÀç ³»¿ëÀÇ ¹üÀ§¸¦ ³ÑÁö ¾Ê´Â Çѵµ¿¡¼­ Ãâ¿øÀÏ ÀÌÈÄ¿¡ Ãß°¡ÀûÀÎ ½ÇÇè ÀڷḦ Á¦ÃâÇÏ´Â µîÀÇ ¹æ¹ýÀ¸·Î ±× È¿°ú¸¦ ±¸Ã¼ÀûÀ¸·Î ÁÖÀå¤ýÁõ¸íÇÏ´Â °ÍÀÌ Çã¿ëµÈ´Ù°í ÇÒ °ÍÀÌ´Ù. ¿ø°í´Â Ãâ¿øÀÏ ÀÌÈÄÀÎ 2021. 12. 14. Ãß°¡ÀûÀÎ ½ÇÇè ÀÚ·á·Î ÇØ´ç È­ÇÕ¹°ÀÇ ¹ß±¤È¿À² ¹× ¼ö¸íÀ» ÃøÁ¤ÇÑ µ¥ÀÌÅ͸¦ Á¦ÃâÇÏ¿´°í, ÀÌ »ç°Ç Á¦1Ç× Á¤Á¤¹ß¸íÀÇ [È­ÇÐ½Ä 1A]ÀÇ È­ÇÕ¹°ÀÎ A6, A7, A8, A9 È­ÇÕ¹°µéÀÌ ÀÌ¿¡ ´ëÀÀÇÏ´Â ¼±Çà¹ß¸íÀÇ B-44, B-45, B-46, B-50ÀÇ È­ÇÕ¹°¿¡ ºñÇÏ¿© È¿À²Àº 49% ÀÌ»ó, ¼ö¸íÀº 140% ÀÌ»ó º¸´Ù °³¼±µÈ È¿°ú¸¦ º¸ÀÓÀ» ¾Ë ¼ö ÀÖ´Ù. ³ª¾Æ°¡, ¿ø°í°¡ Á¦ÃâÇÑ Ãß°¡ÀûÀÎ ½ÇÇèÀÚ·á¿¡ ºñÃß¾î º¼ ¶§ ÀÌ »ç°Ç Á¤Á¤¹ß¸íÀÇ ¸í¼¼¼­·ÎºÎÅÍ [È­ÇÐ½Ä 1A] 6  ¿¡¼­ X°¡ Ȳ(S)ÀÎ °æ¿ì¿¡ ÇØ´çÇÏ´Â È­ÇÕ¹°µéµµ ÀÛ¿ëÈ¿°ú°¡ ÀÖÀ½À» ÀνÄÇϰųª Ãß·ÐÇÒ ¼ö ÀÖ´Ù°í ÇÒ °ÍÀ̹ǷÎ, ÀÌ »ç°Ç Á¦1Ç× Á¤Á¤¹ß¸íÀº ÇöÀúÇÑ ÀÛ¿ëÈ¿°ú°¡ ÀÖ´Ù°í ÇÒ °ÍÀÌ´Ù. µû¶ó¼­, ÀÌ »ç°Ç Á¦1Ç× Á¤Á¤¹ß¸íÀº Åë»óÀÇ ±â¼úÀÚ°¡ ¼±Çà¹ß¸íÀ¸·ÎºÎÅÍ ±× ±¸¼ºÀ» µµÃâÇÏ´Â °ÍÀÌ ½±´Ù°í º¼ ¼ö ¾ø°í °³¼±µÈ È¿°úµµ ÀÖÀ¸¹Ç·Î, ¼±Çà¹ß¸í¿¡ ÀÇÇÏ¿© Áøº¸¼ºÀÌ ºÎÁ¤µÇÁö ¾Ê´Â´Ù.

(3)   ÀÌ »ç°Ç Á¦2, 3Ç× Á¤Á¤¹ß¸íÀÇ Áøº¸¼º ÀÎÁ¤ ¿©ºÎ¿Í °ü·ÃÇÏ¿© »ìÇǰǵ¥, [È­ÇÐ½Ä 1A]ÀÇ È­ÇÕ¹°À» û±¸¹üÀ§·Î ÇÏ´Â ÀÌ »ç°Ç Á¦1Ç× Á¤Á¤¹ß¸íÀÇ Áøº¸¼ºÀÌ ºÎÁ¤µÇÁö ¾Ê´Â´Ù¸é, ÀÌ »ç°Ç Á¦1Ç× Á¤Á¤¹ß¸íÀÇ Á¾¼ÓÇ× ¹ß¸íÀÎ ÀÌ »ç°Ç Á¦2, 3Ç× Á¤Á¤¹ß¸í ¿ª½Ã ¼±Çà¹ß¸í¿¡ ÀÇÇÏ¿© Áøº¸¼ºÀÌ ºÎÁ¤µÇÁö ¾Ê´Â´Ù.

 

(4)   ÀÌ »ç°Ç Á¦4Ç× Á¤Á¤¹ß¸íÀÇ Áøº¸¼º ÀÎÁ¤ ¿©ºÎ¿¡ °üÇÏ¿© »ìÆì°Çµ¥, Á¦4Ç× Á¤Á¤¹ß¸íÀº ¸ðÇÙ ±¸Á¶ 7 ¿¡¼­ X°¡ ¸ðµÎ O ¶Ç´Â S·Î ƯÁ¤µÇ°í, ¿©±â¼­ Inv-001 ³»Áö Inv-042, Inv-118 ¹× Inv-119ÀÇ 44°³ È­ÇÕ¹°µéÀº C °í¸®ÀÇ 1¹ø À§Ä¡¿¡, Inv-046 ³»Áö Inv-067ÀÇ 22°³ È­ÇÕ¹°µéÀº C °í¸®ÀÇ 2¹ø À§Ä¡¿¡, Inv-068 ³»Áö Inv-084 ¹× Inv-113 ³»Áö Inv-117ÀÇ 22°³ È­ÇÕ¹°µéÀº C °í¸®ÀÇ 3¹ø À§Ä¡¿¡, Inv-085 ³»Áö Inv-112ÀÇ 28°³ È­ÇÕ¹°µéÀº C °í¸®ÀÇ 4¹ø À§Ä¡¿¡ °¢°¢ Áú¼Ò¸¦ Æ÷ÇÔÇÏ´Â À°°¢ ÇìÅ×·Î °í¸® ġȯ±â°¡ ġȯµÈ °ÍÀ» Ư¡À¸·Î Çϰí ÀÖ´Ù. ±×·±µ¥ ¼±Çà¹ß¸í¿¡´Â ÀÌ »ç°Ç Á¦4Ç× Á¤Á¤¹ß¸í°ú µ¿ÀÏÇÑ ¸ðÇÙ ±¸Á¶¿Í ġȯ±â¸¦ °¡Áö´Â È­ÇÕ¹°Àº ÀüÇô °³½ÃµÇ¾î ÀÖÁö ¾Ê°í, ³ª¾Æ°¡ ÀÌ¹Ì »ìÆìº» ¹Ù¿Í °°ÀÌ ÀÌ »ç°Ç Á¦4Ç× Á¤Á¤¹ß¸íÀÇ È­ÇÕ¹°À» Æ÷ÇÔÇÏ´Â [È­ÇÐ½Ä 1A] È­ÇÕ¹°µµ ¼±Çà¹ß¸íÀÇ B-44, B-45, B-46, B-50 È­ÇÕ¹°µé·ÎºÎÅÍ ½±°Ô µµÃâÇÒ ¼ö ¾ø´Â ÀÌ»ó ÀÌ »ç°Ç Á¦4Ç× Á¤Á¤¹ß¸íÀÇ È­ÇÕ¹°µéµµ ¼±Çà¹ß¸íÀÇ B-44, B-45, B-46, B-50 È­ÇÕ¹°µé·ÎºÎÅÍ ½±°Ô µµÃâµÉ ¼ö ¾ø´Ù.  ¶ÇÇÑ ÀÌ »ç°Ç Á¦4Ç× Á¤Á¤¹ß¸í¿¡ ¼ÓÇÏ´Â È­ÇÕ¹°¿¡¼­  C°í¸®ÀÇ Ä¡È¯À§Ä¡°¡ º¯°æµÈ È­ÇÕ¹° 20, 57, 73, 104, 65¿¡ ´ëÇØ¼­ ´Üµ¶ È£½ºÆ® ³ì»ö¼ÒÀÚ¸¦ Á¦Á¶ÇÏ¿© ÃøÁ¤ÇÑ È¿À² ¹× ¼ö¸íƯ¼º È¿°ú°¡ ¼±Çà¹ß¸íÀÇ È­ÇÕ¹° B3, B7 ¹× B8°ú ´ëºñÇÏ¿© ÇöÀúÈ÷ °³¼±µÈ È¿°úµµ Á¦½ÃµÇ¾úÀ¸¹Ç·Î, °á±¹ ÀÌ »ç°Ç Á¦4Ç× Á¤Á¤¹ß¸íÀº ¼±Çà¹ß¸í¿¡ ÀÇÇÏ¿© ±× Áøº¸¼ºÀÌ ºÎÁ¤µÈ´Ù°í º¸±â´Â ¾î·Æ´Ù.

 

(5)   ÀÌ »ç°Ç Á¦10 ³»Áö 14Ç× Á¤Á¤¹ß¸íÀÇ Áøº¸¼º ºÎÁ¤ ¿©ºÎ¿¡ °üÇÏ¿© »ìÇǰǵ¥, ÀÌ »ç°Ç Á¦10Ç× Á¤Á¤¹ß¸íÀº ÀÌ »ç°Ç Á¦1 ³»Áö 4Ç× Á¤Á¤¹ß¸íÀÇ Á¾¼ÓÇ× ¹ß¸íÀ̰í, ÀÌ »ç°Ç Á¦11Ç× Á¤Á¤¹ß¸íÀº ÀÌ »ç°Ç Á¦10Ç× Á¤Á¤¹ß¸íÀÇ Á¾¼ÓÇ× ¹ß¸íÀ̸ç, ÀÌ »ç°Ç Á¦12, 13Ç× Á¤Á¤¹ß¸íÀº ÀÌ »ç°Ç Á¦11Ç× Á¤Á¤¹ß¸íÀÇ Á¾¼ÓÇ× ¹ß¸íÀ̰í, ÀÌ »ç°Ç Á¦14Ç× Á¤Á¤¹ß¸íÀº ÀÌ »ç°Ç Á¦13Ç× Á¤Á¤¹ß¸íÀÇ Á¾¼ÓÇ× ¹ß¸íÀÌ´Ù. ÀÌ »ç°Ç Á¦1 ³»Áö 4Ç× Á¤Á¤¹ß¸íÀÇ Áøº¸¼ºÀÌ ¼±Çà¹ß¸í¿¡ ÀÇÇÏ¿© ºÎÁ¤µÇÁö ¾Ê´Â ÀÌ»ó ÀÌ »ç°Ç Á¦10 ³»Áö 14Ç× Á¤Á¤¹ß¸í ¿ª½Ã ¼±Çà¹ß¸í¿¡ ÀÇÇÏ¿© Áøº¸¼ºÀÌ ºÎÁ¤µÇÁö ¾Ê´Â´Ù. µû¶ó¼­ ÀÌ »ç°Ç Á¦1 ³»Áö 4, 10 ³»Áö 14Ç× Á¤Á¤¹ß¸íÀº Åë»óÀÇ ±â¼úÀÚ°¡ ¼±Çà¹ß¸íÀ¸·ÎºÎÅÍ ½±°Ô ¹ß¸íÇÒ ¼ö ÀÖ´Ù°í º¼ ¼ö ¾ø¾î ¼±Çà¹ß¸í¿¡ ÀÇÇÏ¿© Áøº¸¼ºÀÌ ºÎÁ¤µÇÁö ¾ÊÀ¸¹Ç·Î, ÀÌ »ç°Ç °áÁ¤ÀÇ Ãë¼Ò¸¦ ±¸ÇÏ´Â ¿ø°íÀÇ Ã»±¸´Â ÀÌÀ¯ ÀÖÀ¸¹Ç·Î ÀοëÇϱâ·Î ÇÏ¿© ÀÌ »ç°Ç Á¤Á¤¹ß¸í¿¡ ´ëÇÑ µî·ÏÃë¼Ò°áÁ¤À» Ãë¼ÒÇÑ´Ù.

 

Ű¿öµå: ƯÇã, µî·ÏÃë¼Ò, Áøº¸¼º, À¯±â ±¤ÀüÀÚ ¼ÒÀÚ¿ë È­ÇÕ¹°, À¯±â ±¤ÀüÀÚ ¼ÒÀÚ ¹× Ç¥½Ã ÀåÄ¡

 

ÀÌÀü±Û,´ÙÀ½±Û
ÀÌÀü±Û [»óÇ¥]¼±»ç¿ë»óÇ¥¿¡ ´ëÇÑ ±Ç¸®°¡ ÀÌÀüµÇ¾ú´Ù°í º¼ ¼ö ¾ø¾î ±× ÀÌÀüÀ» ÀüÁ¦·Î ÀÌ »ç°Ç µî·Ï»óÇ¥°¡ »óÇ¥¹ý Á¦34Á¶ Á¦1Ç× Á¦12, 20È£¿¡ °¢ ÇØ´çÇÑ´Ù´Â ÁÖÀåÀº ÀÌÀ¯ ¾ø´Ù°í º» »ç·Ê(ƯÇã¹ý¿ø 2021Çã2601)
´ÙÀ½±Û [µðÀÚÀÎ]ÀÌ »ç°Ç µî·ÏµðÀÚÀÎÀº Ãâ¿ø Àü¿¡ °ø¿¬È÷ ½Ç½ÃµÈ ¼±ÇàµðÀÚÀΰú À¯»çÇÑ µðÀÚÀο¡ ÇØ´çµÇ¾î ¹«È¿·Î µÇ¾î¾ß ÇÑ´Ù°í º» »ç·Ê(ƯÇã¹ý¿ø 2022Çã1520)
(06590) ¼­¿ïƯº°½Ã ¼­Ãʱ¸ ¼­ÃÊ´ë·Î 219(¼­Ãʵ¿)
´ëÇ¥ÀüÈ­ 02)3480-1100 | ȨÆäÀÌÁö ÀÌ¿ë ¹®ÀÇ 02)3480-1715(ÆòÀÏ9½Ã~18½Ã) | ÀÎÅͳݵî±â »ç¿ëÀÚÁö¿ø¼¾ÅÍ 1544-0770
WA ÀÎÁõ
top